That sentence is one that I repeat every time I teach economic history. It is repeated because a common misconception in history is that there are “different mentalities”: a pre-capitalist mentality versus a capitalist mentality; a western mentality versus a non-western one etc. The variations are endless but the common denominator is quite simple: there are discontinuities in economic rationality and these discontinuities explain economic change.
That, as I explain to my students, amounts to labelling people of the past as “irrational morons” who would leave $100 bills on the sidewalk. There are no variations in rationality, merely variations in constraints and incentives. That is what I tell my students. And the thing is, that statement is actually testable! Indeed, arguing that something in people’s brain changed is an argument that can never be tested because they are dead and cannot testify. In fact, even if they were alive, their statements would be meaningless because nothing speaks louder than actions (i.e. preferences are revealed by action). Making statements about the rationality of X or Y action is easily testable as we can observe what people did (or do now). And its really easy to refute differences in “mentalities”
Let me give you an example from my native Canada. In Canada, there is a large French minority (the majority of which lives in Quebec) which has long been argued to hold different economic mentalities than the neighboring English majority. Peddled (yes, that is a strong term but I think it applies) by both French and English historians (and economists), this view is used to explain the relative poverty of the French minority (which has historically been 60%-75% as rich as the English majority). As far back as the early 19th century, French-Canadians are argued to have clung on to archaic farming techniques even though they observed better techniques from their English-speaking neighbors. Their “traditional conservative” outlook (in the words of an eminent Canadian historian) pushed into economic stagnation (and even retrogression by some accounts). This view continues today. I vividly remember a debate on French-Canadian TV with former Quebec premier (like a governor for Americans) Bernard Landry telling me that there was a difference between my “anglo-saxon economic worldview” (i.e. neoclassical economics) and that which most French-Canadians held.
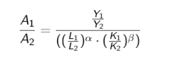
The virtue of this example is French-Canadians are deemed to be of a “lesser” mentality than English-Canadians at the same moment in time. Thus, it is easy to test whether this is the case. In multiple works, notably in this paper at Historical Methods, I have used simple tools from economic theory to assess this lesser mentalities hypothesis. Start from a simple Cobb-Douglas production function:

Where A is technology residual (also known as total factor productivity or TFP), Y is total output, K is the capital stock and L is the labor supply. The exponents are just the elasticities of capital and labor. If the English and French in Canada are separated, there are two production functions (with one for each) and they can be divided by each other. But the neat part about the Cobb-Douglas function here is that you can rearrange the equation and solve in terms of A rather than Y. As A is total factor productivity, it tells us how effectively people combine inputs K and L to produce Y. And then you can express A in the French sector (1) as a ratio of A in the English sector (2) as in the formulation below

Technically, if the French farmers were less efficient than the English farmers the ratio on the left-hand side should be less than 1 (as A1 < A2 ). Using data from the 1831 census of Lower Canada (as Quebec was known then), I compared farms in French areas to farms in English areas. The results? Yes, the French farmers were poorer (income Y1 < Y2 ) but there were very small differences in efficiency of input use (A) between French and English farmers as can be seen in the table below. French areas were 4.3% to 0.5% less efficient than English areas.

But when you controlled for land quality, distance from urban markets, recency of settlement, complementary industries and other controls, there are no statistically significant effect of culture (proxied in the table below by share of Catholics as all French-Canadians in 1831 were Catholic and very few English-Canadians were Catholic). In other words, the small differences have nothing to do with culture or differences in mentalities.

Notice that this was a relatively simple logical test. The farming actions of French-Canadians were observed in the data. We know which inputs they chose to use (in which quantities as well). The results of these actions are easily observable through the output data in the census. Irrationality on their part is thus easy to test as a simple Cobb-Douglas model suggest that irrationality would be manifest by an inferior ability to use and combine inputs. They used inputs equally well as English Canadians and so that claim of inferior mentalities was wrong.
One could reply that I am just picking an easy case to dismantle the “mentalities” claim. But I am actually late to that party by adding the French-Canadians. Similar claims have been made for Russian, French, Italian, Chinese, Vietnamese, Korean, Mexican, Indian, Polish, New Englanders (yes, you read right), Danish, Irish, Kenyans, Algerians, Egyptians etc. Hundreds of economic historians and economists have shown that these cases do not hold.
If you wish to explain economic change (or economic disparities), you have to look elsewhere than “changes in mentalities” (or differences in mentalities). If you dont, you are essentially claiming that people of the past were irrational morons who simply lacked your expert knowledge.
But isnt it a strong point in economics research that moderns leave on the sidewalk annual trillions for the US alone from just zoning and immigration policies? Perhaps the idiocy continues?
LikeLike
I disagree. Saying that there are costly policies still in place is not the same as saying “irrational”. I can easily explain why the USA restricts immigration in spite of the massive benefits from liberalization. Those who stand to lose from free migration are much more vocal. Politicians who stand to gain from catering to them also get gains from restrictions. Those who lose are not voting in USA.
LikeLike
Similarly, there’s the argument that there’s no “political Coase theorem” because often, there’s no feasible way for the beneficiaries of policy change to credibly commit to compensate the losers.
The benefits might take a long time while the costs might be immediate. So paying the losers of policy change might require highly robust and sophisticated credit markets.
Or perhaps the transaction costs are simply very high.
So that’s why the replacement of feudalism and monarchy with modern democracy took centuries of serfs fleeing to free cities and merchants demanding representation in return for loans. Eventually, the policies improved, but it took a long time.
LikeLike
I beg to disagree. I could have argued with my fellow compatriots for 30 years about their antiquated and ignorant ways in all matters economic (let’s call them the weight of history to be charitable). Instead, I voted with my feet, left la France Éternelle and emigrated to the US. 30 years later, the country is the same or even worse mess than it was when I left, the elites are just as corrupt as the citizenry it leads is blind, and I have no regret or nostalgia. Model that with your Cobb-Douglas function all you want.
LikeLike
How to you see your conclusion in relation to McCloskey’s work?
Are changing ethics a determinant of institutional constraints?
LikeLike
“But when you controlled for land quality, distance from urban markets, recency of settlement, complementary industries and other controls, there are no statistically significant effect of culture”
Isn’t this implicitly making the claim that culture has no effect on choice of land, distance from markets, etc.? For example a culture with strong community bonds would tend to increase the relative cost of moving for other economic benefits. Certain religious practices may be harder to live by in urban centers (think the Amish).
How sure are we that those controls are not culturally driven?
LikeLike