While writing a paper recently, I was reminded of the importance of economic modelling.
Macroeconomic models are fun to rag on – everybody does it. But all economic models help us to express our understanding of the world clearly and help us to be specific when the temptation to hand-wave is strong. After all, a model is just a fancy way of saying “a system of logic”.
The paper linked above is several revisions in. What you don’t see are the mistakes that my co-author and I made along the way and the vagueness that we had to resolve. An earlier version of the paper simply stated that deaf people were endowed with less human capital than people who could hear. So far so good. But then we said that it was ambiguous who, the deaf or the hearing, would ultimately have more human capital after making additional human capital investments.
But this is not the case!
After receiving some great advice, I specified how deafness might affect human capital. There are two alternatives. (1) Asserts that deafness augments all other human capital. (2) Asserts that deafness is a subtraction from the stock of homogeneous human capital. Nicely, plugging either H into a simple production function (3) yields a marginal product of labor which is lower for the deaf.

But, the two models of deafness (or hearing for that matter – they’re complementary) differ in their implication for additional human capital investments. Plugging each H into the production function and differentiating with respect to A provides the marginal product of investment in other human capital.
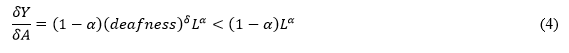
Using Equation (1) provides:

Using equation (2) provides:

On the right most side of equations (4) and (5) is the marginal product of additional human capital for hearing people. As it turns out, equations (1) and (2) provide different predictions for how attractive human capital investments will be for the deaf relative to the hearing. If equation (1) is more reflective of the real world, then the deaf will pursue less education and training than the hearing. If equation (2) is more reflective of the real world, then the deaf will pursue more education and training than the hearing.
Introducing a formal model clarifies our understanding of the world by providing testable predictions. Now we can better know whether the evidence is consistent with how we think the world works. Complex mathematical models are easy to criticize and plenty of people use them as status symbols. But, models can also clarify our logic and reveal implications that we may not catch at first.